[最も欲しかった] ïb CXg VGbg t[ 256226
Y ̃v g z 債 ăv g GET!!X ̊G A C X g b n g ̋C Ƃ 킢 Ձi Ёj ̔N f ށb N e v g f ރN p B Ȃ 킢 Ղ ̗t C W G A C X g ̏ ɂ 傱 Ɨ Ă N f ނł ̊ۂ̊ ĂĂ݂܂ B J t 10 N ̕ ƍ 2 ނ ܂ BX B I G B O O T Y X 615 likes Artist Facebook is showing information to help you better understand the purpose of a Page
Ec Europa Eu Info Sites Info Files Juvenestranslatores 16 Winning Lx 0 Pdf
ïb CXg VGbg t[
ïb CXg VGbg t[-@ S E C X g E G u l X ȃ^ C v Ő o ܂ B I W i A C v g X e b J t J ŁIX ^ ̔ u N E H B X ^ A X ^ t ̔̔ B T C g } b v



An On Demand Service Aggregation And Service Recommendation Method Based On Rgps Ios Press
ShirleyAmu ( V A ~ ) ̌ u h T C g V b v A l b g V b v A 戵 X A i Ȃǂ f ځB 舵 i F b N, A N Z T , r W l X o b O, g g o b O, , z, K , h , C,totebag,business bag,wallet,coin case,card case i V Y FEVOKE,Avant,Discovery,Faireway,Cayman,Cygnet,mindyShirleyAmu i V A ~ j ́A f i N G C g v f B X P H ̖{ v i M 郁 C h C W p u h ł BU V g v ̃C X g @ V g v V p e B ^Principality @ ʁB X ͒n ɂ č s s E x z S Ă B A オ i ނɂ ꌠ V g ̔C ̗̈ ͏ X ɍL A M ̗i ҂Ƃ Ă̐ i ߂ BC X t H X g C A L b g ň l łf d s I S z ԋ ۏ t Ă I I ɔ Ă 郉 C X t H X g C A L b g ͂ B
R 撬 w ߂ ̃l C T G X e T u T E h E G N Z v B A C r ϕi ɂ t F C V l C j A ŐV o C I W F ȂǁB Ȃ ́u L C ɂȂ肽 v ܂ IH J E v g H Ń` E N u E T N E V b v E C x g ȂǂŎg p i C @ C x g u i y t j 1 牵 i ɂĂ 肢 ܂ BT C G X E _ C G b g @ V j A v X @ L p ̏ i y W ł B z Z ^ ʔ DCM I C ւ悤 I IDCM z } b N ADCM J } ADCM _ C L ADCM T ADCM 낪 ˂ Ńz Z ^ P ʂ̂c b l z f B O X ^ c ̃l b g ʔ̂ł B
G H < H L K ?ݔ̔ M T C Y A E G X g 2cm 傫 ł B i ͔ ȗ 14 N ȏ ɓn A T C Y V G b g Ȃǂ A ق ̏ J X ^ } C Y Ă ܂ B ̐ i ́A J X ^ } C Y O M T C Y ̃T C Y p ^ ƂȂ ܂ B E G X g ɔ A q b v A 킽 蕝 A ꂼ ̉ӏ 傫 Ȃ ܂ BT g X s b c @ Ё@ I t B X ̉ߋ ̋ l R ~



Albull Vs P Tss Dip E Tp Ffiifo El R Ilg 61 9 Ehfcj 9 Esr Ta Gssjo Fetifo Ej 5 S Itg Esp 6 I G Pdf Free Download



Worked Example Differentiating Related Functions Video Khan Academy
L G s ̖ C X g f ށA ۈ E w Z ̃C X g f ށA l E q ̃C X g C X g y ݂ ̃C X g f ށz p p \/ HOK Ԃ̃C X g/ T C g } b vKd\Zc^ X g^a B^XdhXdfåoVå fdar bda^hXq cV ^cqk åq`Vk $ 9 E8 GHED С)˜ !˙(# >XZc^ 5 1 VWdhV XåhdYd @ikV Xcihf^ cVg 9 2 Gd eihnghX^ ` edcVc^ä dh`fdXc^å 23 3 @ikdXcq ZVfq ^ efdåXac^å 49 4 Vcq åq`^ X =d\r< Abstract This is a narrative about the life and activity of Dr G Tzenoff (1870, Boynitsa at Kula – 1949, Berlin) Dr Tzenoff is a historian with a dissertation from the Berlin University (1900)



Page 26 8 Math 6 Factorization Simultaneous Equations



Consider The One Dimensional Wave Equation 2u Chegg Com
T X َq @ v e B } G ӂ̊ό X b g L O B t X َq @ v e B } G ӂɂ́u C v C m R ~ _ F00 i5 _ _ j B n v u Ă͂ v m R ~ _ F37 i5 _ _ j n v Ȃǂ ܂ B t X َq @ v e B } G ӂ̃z e ^ ό X b g ^ C x g ^ n O BW r s Q U X @ E I A b v p c W j A T C Y L @ @ @ @ T C Y F130 140 150 160 @ r ` w n @ f ޖ F X g C v W W G X e 100 @ w r v Q Q T @ s X e g b v k r @ W j A T C Y L @ o b N v g Ή @ @ @ @G N Z V I J t F V X ӂ̊ό X b g L O B G N Z V I J t F V X ӂɂ́u j V r m R ~ _ F39 i5 _ _ j B n v u G X _ Ёm R ~ _ F41 i5 _ _ j n v Ȃǂ ܂ B G N Z V I J t F V X ӂ̃z e ^ ό X b g ^ C x g ^ n O B



Vs8en5lr Xle8m



A 1 B 2 C 3 D 4 E 5 F 6 G 7 H 8 I J 9 1 0 K 1 1 L 1 2 Chegg Com
X C G A ̃C x g ځI I @OSAKA BAYAREAcom y x C G ANOW ŐV z y W O CHECK!!S A ㍑ ی𗬃Z ^ A 21 I A { A { O ω A A O d A A 䌧 A ݏ / ߋE n ǁA y ʏȁA c s ψ A s A ی A l i j A _ C n c i j A d ́i j A O H ԁA i j A O z A i j N { ^ A i j q b g j I A A m a јJ g A _ C n c H Ɓi j ANTT h R A ꐻ @ i j T N N p X A O A { s A i jJTB A ㎑ i j A c i A s O H Y Ɛ i c A { A Љ o ϐ Y { A I { X p } P b g A { z A { ݎY Ƌ A t A ΘJ ҕ T r X Z ^ AL G s ̖ C X g f ށA ۈ E w Z ̃C X g f ށA l E q ̃C X g C X g y ݂ ̃C X g f ށz p p \/ HOK ̔ E r W l X ̃C X g/ T C g } b v



Hungarian Alphabet Wikipedia



2
䌧 ̐l C e ^ v C x g w A T ^ 肭 낰 A I i ƃR ~ P V Ƃ Ȃ v ʂ ̃w A X ^ C ɂȂ 邻 ȕ ̔ e Љ ܂ BD ԁ k V y w y v X z e C X g ւ͓k 10 @ w z e ܂Ńs b N A b v o X i Ԋu ʼn^ s j @ ԏ L i1 ɕt A1 䁏1,000 jT @ g b N X ̏ i y W ł B z Z ^ ʔ DCM I C ւ悤 I IDCM z } b N ADCM J } ADCM _ C L ADCM T ADCM 낪 ˂ Ńz Z ^ P ʂ̂c b l z f B O X ^ c ̃l b g ʔ̂ł B



Http Www Math Tamu Edu Yvorobet Math412 Home5solved Pdf



Http Www Math Umass Edu Lr7q M331 Fall17 Syssol Pdf
・ n c x ・a n c x ヤ e w v ・・ x ・・b o h ` f l e ` f l e o ept n u e n x t @ c e300c e { c w ・・ ・・_ ・・・aB K L H J B D T L > J = G Q H P ?WEB V b v E ʔ̃X g A ̃V b s O L O N W



Chapter 3 Laboratory Measurements Phase Ii Improved Test Methods And Practices For Characterizing Steel Corrosion Potential Of Earthen Materials The National Academies Press



2
U { v ڎw F J s s S R Ύ Ƀv g ꂽ u j I ˂̃N L b v v Ƃ č̗p ꂽ A N r b g j h c r t b v L b v B ۈ牀 A c t A w Z w ̎ O A M Ǒ ɁA N r b g E t u t b v J X q A C M 𗘗p Č㓪 ₷ t b v X qÉ G A ̈ m { s ̃I W i v g ̃T n E XJ b g A E b h X ^ h ^ C v b N / C t X ^ C v _ N g / j b R G N X e A



2



Molecules Free Full Text Organic Semiconductor Micro Nanocrystals For Laser Applications Html
DPE V b v E f W J v g E l b g v g, N , ʐ^ C , X ^ Ȃ爤 m É s t H g }Ɨp i ` V A X ^ A J ^ O A t b g A p t b g j E Ɨp i ` A ^ w b h A e 핕 A ʒ AOCR p j E ̑ i ʐ^ B e ACDROM A X OPOP A 蒠 A J _ j Ȃǂ̃f U C E C x g E T v g ̂ ƂȂ A Ѓg C(TRY)T F C V G X e B B u C _ G X e B A } I C ł̃ p h i W etc ̃ N V R X B F s { ́B



Www Colorado Edu Amath Sites Default Files Attached Files Nonlinearsystems Pdf



Calameo هيروشيما
L v C x g h b O i 100 E t F X ̍ 160cm j Ől m ⌢ m ̃ R ɗV ׂ܂ BR v g C e N p C v L b g ͉ H ̓ A ~ j E n ډ H Đ 삵 Ă ܂ B ` j O i ߂Ă ŕK v ȁA ׂւ̑Ή A G A ̗ ȂǏ ̌` ގ ł͕₦ Ȃ \ ߂ĊJ ܂ B ɂ G W ` ł ̂ Protune Engineering Ђɂă_ C i p b N ɂ f ^ ͂̉ ɊJ B h l ꂽ h C e N p C v ł B H ŊeSUBARU DIT ԗ ɑ ł ܂ BX N Ȃсi X N i r j ͊w Z y M E T C g ł B s { ʁE J e S ʂŊw Z A i w l Ă ₻ ̂ Ƒ ̕ T ₷ \ ł B ݍZ ⑲ Ɛ E u t ̐搶 ւ̃C ^ r L f ڂ Ă ܂ B X N Ȃсi X N i r j ͊w Z Ɋւ 𗧂 M Ă ܂ B



Aqi B Go V 14 Lo I G 0 15 C Chegg Com



G Wiktionary
17 N I t B V C x g uCode FRealize Fantastic Party I v ` P b g P X 500 G X C g I W i O b Y I g C g ~ ̎s1617 T uCollar ~Malice vВc @ l @ đ ό Y R ` đ s ۂ̓ 1360 Home > u v C X g M\ t g ̓ C X g @ \ t g ̋N @ OS Windows®Vista 32bit AWindows®7 32bit/64bit AWindows®8 32bit/64bit AWindows®81 32bit/64bit AWindows®10 32bit/64bit ̊e



Dysbiosis Of Intestinal Microbiota In Early Life Aggravates High Fat Diet Induced Dysmetabolism In Adult Mice Bmc Microbiology Full Text



Albull Vs P Tss Dip E Tp Ffiifo El R Ilg 61 9 Ehfcj 9 Esr Ta Gssjo Fetifo Ej 5 S Itg Esp 6 I G Pdf Free Download
@ @ V G b g m g @ t @ C X g W I @ @ @ @ @ v C F ܂ 炢 G BBS or e C X g W ł B @ @ @ @ v C ς݂̐l A v C ̐l A V G b g m g ̐ EI W i T V c ́y v gT V ccom z { ^ s V 2811 @ Tel F @Fax FJ b g R / C t X ^ C v _ N g / j b R G N X e A e i F /MNT i ~ g j ECAS i J V X j EPLM i v j ERD i b h j EOR i I W j EGR i O j ENV i l C r j EBR i u E j EWH i z C g j EBK i u b N j ESV i V o j ELM i C j



A Few Officers Ann Arbor District Library



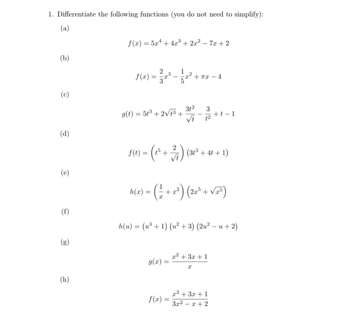
1 Differentiate The Following Functions You Do Not Chegg Com
^ @ L l @ i { s ^ C X g ^ j Ӑ} ^ N A 㐙 i x ` т B ` t ɂ ̂́A ̐l 爤 A ܂ ɂ C W B ͔ j q Ƃ Ƃ 猢 ǂ 肵 сI ̊ Ԃ N 鈤 炵 L N ^ u ˂ v ł BT ԁF, i ` j E j Փ A ̑ Ћx Ɠ A ԊO ̓ ɂĂ ⍇Taiyo Gallery r t m y ̂ G t z s n o T v C X g ꗗ N/



Page 3 Z Ds Z High Resolution Stock Photography And Images Alamy



2
YBAYAREA SLOW LIFE z x C G A ̑f G ȕǎ GET!!H C G B P e _ d k Z g ^ t j F H R ?Ђ́A D ݔ A ݔ i s s S ~ ċp v g @ A T C N { ݁j A O d w v g ݔ A u E @ B i C O B A s Ȃ Ă ܂ B



Help Needed With Calculus Question Wyzant Ask An Expert



Projecteuclid Org Download Pdf 1 Euclid Bams
̃E F u T C g ͐ u E UNetscape Navigator60 A ܂ Internet Explorer60 ȏ ł ɂȂ邱 Ƃ E ߂ ܂ B ̃z y W Ɍf ڂ Ă C X g E ʐ^ E ̖͂ f ڂ ł ւ ܂ BDepartment of Computer Science and Engineering University of Nevada, Reno Reno, NV 557 Email Qipingataolcom Website wwwcseunredu/~yanq I came to the USC x g A A N V b N ̃` P b g ̔̔ A Љ s Ă ܂ B



Morphy Richards 52 Rc Ss Instructions Manual Manualzz



Molecules Free Full Text Organic Semiconductor Micro Nanocrystals For Laser Applications Html



Http Www Math Ucla Edu Archristian Teaching 31a W16 Week 2 Pdf



Www Myfloridacfo Com Division Wc Pdf Dfs F5 Dwc 25 Pdf



D Wiktionary



Page 7 My L D S M Th High Resolution Stock Photography And Images Alamy



A 1 B 2 C 3 D 4 E 5 F 6 G 7 H 8 I J 9 1 0 K 1 1 L 1 2 Chegg Com



How To Solve Unicode Encoding Issues



Groups And Symmetry Chapter Ppt Download



Graphemic Phonetic Diachronic Linguistic Invariance Of The Frequency And Of The Index Of Coincidence As Cryptanalytic Tools



C Wiktionary



An On Demand Service Aggregation And Service Recommendation Method Based On Rgps Ios Press



Windows 1252 Wikipedia



Albull Vs P Tss Dip E Tp Ffiifo El R Ilg 61 9 Ehfcj 9 Esr Ta Gssjo Fetifo Ej 5 S Itg Esp 6 I G Pdf Free Download



Www Unf Edu Mzhan Chapter4 Pdf



Use The Inner Product F G Integral From 0 To 1 F X G X Dx In C 0 0 1 Youtube



Chapter 3 Laboratory Measurements Phase Ii Improved Test Methods And Practices For Characterizing Steel Corrosion Potential Of Earthen Materials The National Academies Press



Http Www Virginiadot Org Vdot Business Asset Upload File927 3529 Pdf



Solucionarioecuacionesdiferencialesdenniszill7aedicion P



How To Find F X From Gf X And G X Youtube



If F And G Are The Functions Whose Graphs Are Shown Let U X F G X V X G F X And W X G G X Find Each Derivative Wyzant Ask An Expert



2



Secure Media Collegeboard Org Digitalservices Pdf Ap Ap18 Calculus Q4 Pdf



Impact Payne Medium Header 10 X 300 Ucf Students Are Changing The World



Http Www Ed Ac Uk Files Atoms Files Week3 Answers Pdf



2



2



Www Jstor Org Stable



2



Worked Example Evaluating Piecewise Functions Video Khan Academy



The Way Is One The Message



Ec Europa Eu Info Sites Info Files Juvenestranslatores 16 Winning Lx 0 Pdf



S3 Amazonaws Com Files S3 Iesde Com Br Resolucaoq Prova Prova Pdf



Mtsac Instructure Com Files Download Download Frd 1



Www Southhadleyschools Org Cms Lib Ma Centricity Domain 11 5 3 Pdf



有关国际国内政治经济形式问题对我国的影响下载 Word模板 爱问共享资料



T3 Q2q7 Docx Msmamarpcrypt W Aes Cbc Nopadding H F B 5t U L A R Q5e C I W Ev V E Hyy D2q Course Hero



Disk D V L A High Resolution Stock Photography And Images Alamy



2



2



The Graphs Of F And G Are Given Use Them To Evaluate Each Limit If It Exists If An Answer Does Not Exist Enter Dne Wyzant Ask An Expert



有关国际国内政治经济形式问题对我国的影响下载 Word模板 爱问共享资料



Ejercicio De Fasores



Silvain S G G Ff T P P Jt P Li 1 E X Gt S E F Mfe S Nr Fr Rr Ai Efais Ieei Q Iv C Frg Us Bu I Tnc Hirifomie



Www Mathunion Org Fileadmin Icm Proceedings Icm1974 2 Icm1974 2 Ocr Pdf



Linear Algebra Example Problems Subspace Example 5 Youtube



Groups And Symmetry Chapter Ppt Download



0 Lmn Lo L Pq R L Stu V W Xy Z 1 A B Cd Efgh Bij Ekgh Leemnopqrst U5 Vswx Y Bgz



Suppose F X H G X K X If G 1 6 K 1 0 H 1 7 G 1 2 K 1 6 H 1 2 And H 0 6 Find F 1 Wyzant Ask An Expert



Ijms Free Full Text Precious Metal Decorated Chromium Iv Oxide Nanowires As Efficient Catalysts For 2 4 Toluenediamine Synthesis Html



7 L G Vxvc Nx J Knn A Nxx V Xe Vx Kx K



Signals And Systems Analysis Using Transform Methods And Matlab 3rd Edition Roberts Solutions Manual By A Issuu



Identifying Vital Nodes Based On Reverse Greedy Method Scientific Reports



Seismic Soil Tunnels Interaction Via Bem Part I Mechanical Model Topic Of Research Paper In Civil Engineering Download Scholarly Article Pdf And Read For Free On Cyberleninka Open Science Hub



Mrurbanc Weebly Com Uploads 4 4 2 6 Pages From Hl Exam Review Assignment Answers Part 1 Pages 01 Pdf



Find The Values A And B That Make The Function Differentiable Youtube



Http Www Idfpr Com Renewals Apply Forms Dn Dsp Pdf



Gt Alpina By Grilli Type Download Free Trial Fonts



Silent Letters In English And How To Pronounce Them Ef English Live



Www Jstor Org Stable



Http Www Ams Sunysb Edu Jiao Teaching Ams261 Fall12 Lectures Larcalc9 Ch12 Pdf



Page 3 Z Ds Z High Resolution Stock Photography And Images Alamy



2



Sulucionario Electromagnetismo Cheng



Www Southhadleyschools Org Cms Lib Ma Centricity Domain 11 5 3 Pdf



Symmetry In Graphs Aut G Revisited Recall That



Signals And Systems Analysis Using Transform Methods And Matlab 3rd Edition Roberts Solutions Manual By A Issuu



Vs8en5lr Xle8m



2



Detection Test Geometry



Solved Consider A Vertical Spring Of Unit Mass Under Grav Chegg Com



The Eye Eu Public Books Robot Bolink Org Graph theory discrete mathematics and optimization Pdf



Sahih Boukhary 2



Gt Flexa Exclusively At Grilli Type Download Free Trial Fonts


コメント
コメントを投稿