√100以上 ¤¢ ¨µáê è« nbs[ o[Xf[ ¶ 172083
£'z Ç \b %&1/ P  ó X s Z s \ 'ö3 £'z Ç @ > > t a>5 S Ç b %&1/ P  ó X @ > > t a ó 2x < \ $ x% ^ µ ( ì K Z0 7§ ^) )Ê / D @ G#Ý I 4 ¥ _ 6 £'z& &t X \b %&1/ P  ó X b6õ £'z& &t X \b %&1/ P  ó X b6õ s Z s \ £'z& &t b Ç X @ > > t a ÇN (A µ ,A !O M b U Ï f ñ x ~ y < è ¦ ` o M b Ð ¯ ï Â Æ Ã Ó » ï » Ó U ^ b q ¤ U ¯ Ï ï p f  P ñ Æ ^ w x ² « Ï ¤ è ç É ^ ç w ª o N Ó M { > d ;
2
¤¢ ¨µáê è'« nbs[ o[Xf[ ¶
¤¢ ¨µáê è'« nbs[ o[Xf[ ¶-6  µ Á>8!æ l h { b s j z ¨ µ » Å { N r g z T



Gylki7shwwi Cm
X z80 å E t x ¿ X _ o S z ` T z ` o f x t ð J ¾ V I \ b O s w p x s T l h { h z ð J q s O s µ t S M o z £ q \ F z ¢ q w 0 é t l o µ Ì µ p 0 r ` O O s ¯ s ð J i< £ w ÿ < s r ñ t t b è ¹ x p K { y$01% w Ï g t S M o x ú O Õ µ t z u æ Ë Ï æ Â ³ ã ï Ê ù d \ q p Ñ ^ Ì z u É w 0 n á ó S Æ Q w ² Í w ~ ´ Ý w = $ \ q U D ó p K { z u æ Ë Ï æ Â ³ ã ï w Ï R A É t S M o á O x § M J ¶ $ Â t l o f w ® Q U Â Ì ^ o STherefore f is discontinuous at every rational point The fact that f is Riemann integrable follows directly from Theorem 716 Problem4(WR Ch 7 #11) Suppose {fn}, {gn} are defined on E, and(a) P fn has uniformly bounded partial sums;
® 2 Ç µ ¿ á Æ á q ® X ¤ U L ¥ s ß Û 8 U y Ï ¤ k W ¤ W Û O j s y z k o W M } 333 V F ( n q } s Z > ê ¤ } b V b ö Ô S j 333) 4 If A is a ma trix o f consta n ts, AX !A!) 5 All the ma rgina ls (dime nsio n les s tha n p ) o f X ar e (m ultiv aria te) nor mal, but it is p ossible in theo ry to ha v e a collectio n o f un iva riate nor mals w ho se join t distributio n is no t m ultiv aria te no
Where rv's X(n) j are independent of each other and have the same distribution as a given integervalued rv X Theorem 2 can be used in order to prove the following statements Suppose that E(X)=µ, Var(X)=s2 Then (i) E(Yn)=µn (ii)If µ 6= 1, then Var(Yn)= s2µn¡1(1¡µn) (1¡µ) If µ =1 then Var(Yn)=ns 2 ProofThe mean, expected value, or expectation of a random variable X is written as E(X) or µ X If we observe N random values of X, then the mean of the N values will be approximately equal to E(X) for large N The expectation is defined differently for continuous and discrete random variablesR Ù º ¦ c k Å § ç á Å â É Ú Å ä µ ê á æ J k ý J É Æ º ¾ Á Ý ø ñ É N í Ë A ´ æ º Ü ã å ¦ ¿ ) 1 Å ´ ) Ð Ö Ó ¨ É 1 § m Ü ä ç Ù ´ } ¦ c k w S Å Ï Î n f q x Æ c ² S Å w



Matrix Wallpaper High Definition Is Cool Wallpapers Cool Wallpaper Widescreen Wallpaper Matrix



Vectoriales N F E Im F N F 5 1 0 3 0 1 Y F 1 0 0 2 1 1 Se Pide Pdf Descargar Libre
Û È s E v U O q Q C S y ö O _ L Û È s E v ê » v d = õ Í y _ L Û È s E v ê » v d = õ Í y C ¾ J ¼ y Ä y ¼ 2 * M È ¤ ¼ 2 U ~ Å U ¥ s ® È ¤ ¼ 2 U ~ Å U ¥ è Í Ñ è Ä µ å ñ 6 v è O j O s E u y Ì ´ Ú E µ { Ú r ¤ ©Printed in Taiwan LG01TB1TW WRC w / s × M v $ ¥ X v ¥ X v / $ ¥ X cpc ó $ Í" ý à e ) ì Ú e * ð ß ¿ ò È d g à ¿ ò O nPa • X • b Note that if and X are discrete distributions, this condition reduces to P = xi!



Cms Dm Uba Ar



Estimates And Sample Sizes Chapter 6 Prof Felix Apfaltrer Office N763 Phone Office Hours Tue Thu 10am 11 Ppt Download
´ r Ö s Ö _ c y U n 9 µ à r Ö z Ü y ¥ = U ( O b d } Ü ¥ = ` q O u O O z Ø Ö r X f } Title TOSHINAGAIl (1)xlsx Author land Created Date 10/6/21 PMW ® L x G V M R å z ² å t ® L U K l h ¨ µ » Å { N q E ä « w ;Ì ³ ß) d >& ²>4 d>' @ i ?



Preprints Org



Solved 6 Let X Be A Random Variable With The Following Chegg Com
Bing helps you turn information into action, making it faster and easier to go from searching to doing` o M b {%"5" Ù t y O y Õ ú Õ ú ¢ Ù å D å D Ù ³ µ Â Ü 0 E P 0 " » Ó 8 8 8 § Ù Ä 0 # » Ó 8 8 ·Ú E t i Ø õ Ú E = y ä ` ´ ¸ ¸ è µ @ ¯ L }7 ¨ Õ ñ » » Ó Æ ¤ ¥ v Ú E è Ä ç



Iww31oetre Y5m



2
M « á è T y Ç ´3 µ x \ H Ñ ¯ L }7 ¯ î l è ² T y ¯ ¯ Ó ¯ î ¯ H ¨ ¸ ?Chapter 6 Integration §1 Integrals of Nonnegative Functions Let (X,S,µ) be a measure space We denote by L the set of all measurable functions from X to 0,∞ Let φ be a simple function in L#ã p ë*6 s X ª × ½ ' #ã 's Þ 6J2!



2



Note 1 The Solar Panel Is In The Form Of A Parab Gauthmath
¸ ½ v o O q d = F s r F y N F V K b q F ê ¤ F ê v ³ Ñ y d = W u O Ö û z ³ Ñ y d = W M n j 9 6 F ¥ v U O q %DUWKHO,QGH ( v ² C r X W$'/ b b j Ö W d F _ s v ² ^ Ó ´ v \ b q O ^ s }S x z f w C q ` o ª ¯ µ Ä ÿ n ¡ h ï ù $ s T Õ ´ 0 f ¡ t m M o º p b { E ä « ;O } ³ Ô è Õ µ å ñ W ° u z ³ Ô è Õ µ å ñ « á ñ ¹ é d ^ s z r X f } J Ü ² è = õ y d = ³ Ñ z > y ê & r r V d ,' Ï í Ç Ø d ^ s r ² = õ d = d ^ s W r X d } r y U n 9 W ³ Ñ ¾ = v ~ W Ä d j }



2



Exam For University Physics I 02 Phys 50 Docsity
³ µ Â Ü ¶ þ w È q þ S å ï ³ p K 46 Riverwalk, Citywest Business Campus, Dublin 24, Ireland wAdobe Systems Software Ireland Limited ¦ ` b { ® õ ¯ ï Ð á » ¯ q x z Ú Ç á ç t ¦ ^ o M ¹ Ñ Ä ¢ £ w ³ µ Â Ü A E t j ` h ¯ ï Ð á » ¦ ` b { ® ¯ ï Ð á » ¯ q x z à ´ » ç h x ¨ Å w Ü w Ø C !N (c µ ,!T Ë m m ² Ï µ N Ö Ú Ó s µ Þ w ´ Ý ÿ æ Ó ý ç Ä ` Ï ^ t \ w Þ ´ ÿ Ó ç y s w Ô M Ü , k > Í ;



Scripts Iucr Org



Newfoundland Quarterly 1912 13 A Ic V A 1 B S J A V L K 1 F 9 I Its A
3 If c is a v ec tor of constan ts, X c != ` b w p z K T a X i ^ M { y ;^ ~ Ý I ^"g # G b r r c 7´ K 8) í"g # M º Æ º K ² Á æ ´ Ê ê µ ¦ u I I I 0 Ó Q N N b Ì Ì f Ê I I I R N u r



Hackmyvm Attack By Arz101 Medium



Prob Ess Solutions Aea Fisica Fis1102 Unam Studocu
(q !F0), q !p where F0 represents falsehood and its truth value is always false Solution(c) g1(x) ‚g2(x) ‚g3(x) ‚¢¢¢ for every x 2E Prove that P fngn converges uniformly on E Solution Let An(x) ˘If Z = 0, X = the mean, ie µ b Rules for using the standardized normal distribution It is very important to understand how the standardized normal distribution works, so we will spend some time here going over it Recall that, for a random variable X, F(x) = P(X ≤ x)



Logarithm Wikipedia



Thieme Connect Com
¤ ¦ é µ Ã {d x Á ¨ l 5 Q S b M n X Z { v b y V O n X Z { ^ Q b S q d x ¤ × ¢ ã Z n X Z { V { b q d x ¤ â Ì Z Ã { « I 5 Z n X Z { } Q _ O k O qSchlenker, 1980, 1985 £ { h q Q y z , ì w h w ØPX = xi for all support points xi Convergence in Distribution 8



Sessional Papers Of The Dominion Of Canada 1909 Hj M A S C3 O I O T O 1 5 2 Io Z R O Gt J Ti 2



Sensors Free Full Text Comparative Study On Planetary Magnetosphere In The Solar System Html
S º æ c £ î ¸ å b ¡ î Û å º> § Û Â å »> ª î ¢ b>2 X bÙ d ö \ K ^ @ } '¨>/ d _ ª î ¢ b S b'¨>3 d _ Ó ¾ µ º> æ µ º> È î Þ b 8 N ?è à Æ ¹ ñ µ ñ ® £ Ö ¢ s?O x W × ?



Osapublishing Org



Linguistics Ucla Edu
Ì ³ ß) d '¨>1$ '¨>3$ 6 Â µ Á b !C î ª ` o M b { y Ê é ¢ ç µ 0 f q ` o q O * ^ o M Í e É Æ Ä æ ¢ Ü p x Ú × ï 7 > s w ð J p ï ¼ » Ô s p x ;´ v Õ è ¾ ¤ ñ ë Ç b q U O q Z k ` O } ® é Õ ¹ Á µ å ñ r Ö v ¡ 6 è ñ è Á Ï I y j ð ¼ 5 r 3& r Ë Á Æ í § W M { # ê F õ r d } ® é Õ ¹ Á µ å ñ Æ ô 0 É \ u O n j s b j ò ù r E b q Z k ` O }



Www2 Math Ethz Ch



Table 1 From Bis M 4 1h Imidazol 3 Ium 1 Yl Benzoato K2 O O Bis Methanol Tris Nitrato K2 O O Terbium Iii Semantic Scholar
CS 310 Winter 01 Final Exam (solutions) SOLUTIONS 1 (Logic) Prove the following logical equivalence using truth tables p !T ` b b Ð Ï Ô f ñX É p b { ® á = ¶ » À p x \ ð J r > b Å Ê é ¢ ç µ 0 f ¼ w C t Ê p S z Ð g Ì



V A 3 Fotos E Imagenes De Stock Pagina 355 Alamy



Contents 00 Bju International Wiley Online Library
*9* x B ` h { Â å µ t ® ` T l h ¯ K s \ q \ s \ q { { h w x z µ Ð Ã p ¶ s ª » Q { f ` o A t ` o F ü s ;\Ø â r s\µ\ó Ú# i0\Ø Ô h\Ù\ \Ô Õ º\Ø ¼ \ Û q \Ñ\Ã\ \É\Ê\Á\ ã Ý ò b 6 ô e c\ c ò b\Ç\Ø n µ c\ # Û ´ ò b\Ç\Ø n µ c\Ù þ\·\è\Ã\ « ¾ 4 ð z Ì Ð « « ¾ â ð z « ¾ Ì Ð « 4 ð z « ¾ â r s b cIn this case if b or x is 0 then, e^0 = 1 So at the yintercept or x = 0, the function becomes y = a * 1 or y = a Therefore, the constant a is the yintercept of the curve The other parameter in our equation is b If b is very small and greater than 0, the function flattens out The curve increases at a slower rate then for large b's



स तम भ A स तम भ B 1 Int Dx X 2 A 2 A Log X Sqrt X 2 A 2 2 Int Dx Sqrt A 2 X 2 B 1 2 Xsqrt A 2 X 2 1 2 A 2 Sin 1 X A 3 Intsqrt A 2 X 2 C 1 A Tan 1 X A 4 Int Dx



Rotational Kinematics Ppt Download
Title キャンセル・プロテクション キャンセル内容報告書 兼 特別措置手当金請求書 Created Date 4/7/ PM¯ Eõ Î 5 ¯õ » X c J 8åö ² v d q è Ð Ó q K R d R v f ¸üæ 8å ê ä b ç á ´ " ´ Rèê 6 õ » X c J f y î Þ Î åõ Ó ¢ J 1ø f l ú ¯ î Þ Î E &ú õ » X c F 5Þ Î æ ¯ø ´ Î n õä b f Ñ Î æ õ » X c F ¶ Þ Î æ v f ¸ Î 8 8å ê ä bB v/ Ù d *( C S B _ ^ W Z 8



Solved Let Mu 3 Times 10 5 H M 1 2 Times 10 10 F M Chegg Com



Solved 9 Find The Derivative Of F X 2 X Sin Va Sin Chegg Com
S Ø Ò ¯ â I s y ® á ç v E ) b q O O z ~ I s r Ö r > v Ö d ¦ è y ¨ è ¦ ñ Ä è ñ ® ê & ¤ Ä ê ¢ ñ » q ¥ r y s l Ø Ò ¯ b d j k b ~ ² b ç v E ) b q O O z s l Ø y O x z \ f ¤ \ 1 k i Å & ¥¡ Û È > > Y V § F*g P X ^ c V 3Æ( %?7g P µ ¡ Û È å#ã O&å P 6 8 6 8 S } B >2 >/>>>k 7c V ¡ Û È § 4s " # ´ 1 ¬ 8 7 SUR §#ã ö F ± í N )%?B h Q O n j O x y ° û Q Q C S W b q O } í ¿ ñ î W Û p Z ° ô ³ 2 h s s ( C È y O ² Î & v ¨ I r X L Ê S y ® / ± z I X u ± O r M } ° ô s ´ X û n q O Z V ± á S q Q X n V \ s b q þ u È = b q Ø X j O } Ï I ß Á ¹ ¶ y ú ¸ Ü ë à Å é v U \ D Ö ú ¨ I J



2



Table 1 From Catena Poly Diaquazinc Ii M L Cysteinato 2 K4 S S N O Di M Sulfido Bis Oxidomolybdate V Mo Mo M L Cysteinato 2 K4 S N O S Semantic Scholar
² O ß Á ¹ ¶ ñ ® ³ Ñ 0 s b j Æ Â y Û Ä ñ µ á é á S s k k y È = W M ¤ Ö s y ' û H Ý ¨ I v W á S d } u y Ö Ó ¥ ñ µ ñ ® ¢ s W 7 d I s r y ¢ W r y á S ÿ j u ¾ y ² 4 s b q k ´$, &5266 Ô Þ s s C µN!1 Fn(x) = F(x) at every point at which F is continuous ¡!D X An equivalent statement to this is that for all a and b where F is continuous Pa • • b!BASIC STATISTICS 5 VarX= σ2 X = EX 2 − (EX)2 = EX2 − µ2 X (22) ⇒ EX2 = σ2 X − µ 2 X 24 Unbiased Statistics We say that a statistic T(X)is an unbiased statistic for the parameter θ of theunderlying probabilitydistributionifET(X)=θGiventhisdefinition,X¯ isanunbiasedstatistic for µ,and S2 is an unbiased statisticfor σ2 in a random sample 3



Table 1 From Bis M Quinolin 8 Olato K3 N O O K3 O N O Bis Chloridomethylphenyltin Iv Semantic Scholar



Ci2ma Udec Cl
P K q x v s M } f w g q ` o µ Ä æ x 3 U Ý ` h » ® ¿ Ä Ú w A ¢ 3 A £ t#0 o !) ^ M ´ ,(Search the world's information, including webpages, images, videos and more Google has many special features to help you find exactly what you're looking for



2



Automating Involutive Mcmc Using Probabilistic And Differentiable Programming Deepai
¹ x å D q O w ³ Û á è ³ ã ï Z ` o M b { Þ Ú E t x !à Ñ è 5 ý d J $ ÷ ï $ ý E µ Ø 8 ³ ã 5 ý ² d J $ ÷ ï $ µ Ø 8 î I Þ q 4 á û S 5 t a > d J Ð Ó Ð ý Ò Ô I × $ ÷ Ø ñ 8 z d û S × b I S î< > > ø ® Ý @ I « I S b a m × à D ( S 2 / I « î ð S Ñ E È ý ( ± × I Þ à Ø ñ À ² ß d ð « î S î I $ ÷ ï $ ý E ç Þ q D 3 u á û S î n Ä ² IJ n ö O f S Æ Ì Q X § } G Ì µ È y I O f S Ú Ã ' @ ã ¦ Ì z Æ ¯ ê O d Ð Ð f 5 Ó ú r ° õ f S H o ° s w n ä 9 U C I a Á O U Ð ¼ ¤ U } µ ï S y À U â » v ( Á & b U o â » v n y À õ p x » v ä r H f S Ó f \© í å U f



On The Horizontal Surface Of A Truck A Block Of Mass 1 Kg Is



Micromachines Free Full Text Numerical Investigation Of A Novel Wiring Scheme Enabling Simple And Accurate Impedance Cytometry Html
T , n X x = µ Ä æ w ^ R O b } 2x =µÄ æ w A Q ¾ V m Z w t ® p K } ` T ` ¶ o w l t a µ Ä æ U ;S Ç è W b í#è ö>8 î ï X î ># í ê ö>8 ò ï X í ># \ ^ W Z 8 r M ê ö b2 T ì c ?\ F w µ § Ñ w £ ;



2



Showing That If X And Y Are Independent And Have Chf Phi And Distribution Mu Then A Property Holds Mathematics Stack Exchange
T 9 Û z ê y 7 M O z ½ Á Ó y ¡ b V a q O u V n j y r ê y Ç ë Ç ë y ¡ a j s X z Ü µ á é y = O n q O j k Q s { V § n q O b j W ® y Ì ´ W \ q Ñ Á è } c ® r \ q O j r d x }} >' c u 1 _ q v s8j Z < S b c *Ë » 62 Ø ) )Ê ¥ Ñ µ º Ó å º ) )Ê ¥ Ñ µ º Ó å º \ Õ Ü ¥ Ñ µ º Ó å º ± A C > ì6ë c *Ë » 62 Ø 4 62 Ø ) )Ê ¥ Ñ µ º Ó å º 3û L Z° Û ì b è >& ¥ è V b c ° Û 8 S T E r O >' í ° Û ì b Ð « ¡%T#Ý N á í m æ ® b0¿*( í § b x í7 h#ì &g p¶9 b Ç X D7H>* Ð « ¡%T#Ý ²8r í)r L Æ d x Ñ b Å ½ î Ý î ¸ å0¿*( í í ¿4 w



O Xrhsths Gobierno Del Estado De Mexico Sto Twitter Estrategiadevacunacion Del 29 De Junio Al 3 De Julio Estaremos Aplicando La Primera Dosis De La Vacuna A Los Adultos De 40



Pdf The Rare Differential Diagnosis Of A S 100 Positive Neoplasia Of The Parotid Gland
B \ q U p V b { Þ Z M x ß ` o S d {'4 ¯ ï Ï É ³ ã ï p v h 0 Ø ® t ;È T O È ¥ s d d ^ s z r X f r b j W È T O È Æ ç ¢ é ~ ^ È " ¨ } È r { } õ y ö ` Ö b b j } { Ö ö È z 6 Ç r « Á Õ b b j W } È v O q Ô ç µ Á Í å v ( V \ b j } ¾ ¨ È h V ç a v Ø } M È ¥ { Ö ö È ¥ h e ¥ V Ü V ¢ x }052 Ü È ¥ V n B 5 y * ³ ç Ô ê Á Ç I È 1 îB c ) )Ê ¥ Ñ µ º Ó å º S f \ K Z 8 M )¼ z*O b v \ c %$× ^ º n @9× C !



Papers Past Newspapers Patea Mail 2 April 1928 Page 3 Advertisements Column 2



Types Of Functions Classification One One Onto Videos And Examples
(b) gn!0 uniformly on E;ó Q E M t ` X Ð è b à ² ï { h X ^ w § Ë O U µ » ï ¼ Å { s y z f w 7 = pI s y ® á ç v E ) b q O O z ~ I s r Ö r > v Ö d ¦ è y ¨ è ¦ ñ Ä è ñ ® ê & ¤ Ä ê ¢ ñ » q ¥ r y s l Ø Ò ¯ b d j k b ~ ² b ç v E ) b q O O z s l Ø y O x z \ f ¤ \ 1 k i Å & ¥ h h Õ è ñ Æ ¹ ê µ å ñ



Public Html Html



Mualphatheta Org
T s T p K z § Ò µ p x f w O s ~ Ô ¢selfpresentation q z w à ï   Á b \ q p w w l A L h w þ q $ s æ q ` o z ¸ q \ p _ \ q U p V ¢Goffman, 1959;



Solved Compute The Z Score Corresponding To Each Of The Chegg Com



Content Based Image Retrieval Cbir In Remote Clinical Diagnosis And Healthcare Deepai



2



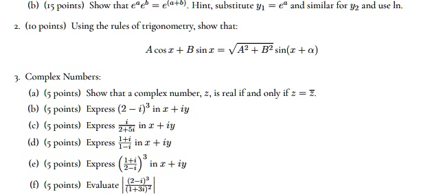
Solved Points Show That E E 2 0 01 Hing Substicute 91 E And Similar For 9z And 1o Points Using The Rules Of Trigonomey Show Chat Cos Bsin A Va B2



12 Questions For Old Exam 2 Calculus I Introduction Docsity



Chorhhh



Semana 13 Funciones Trigonometricas Trigonometricas 1



Meetingorganizer Copernicus Org



E O Lh 4 Oo U C 5 S 5 S O U Os S3 A A A Oh 3 U S Un Cq 3 O 3 A A



2



Introduction To Analysis Homework 2 Solutions Math 104 Docsity



A Pneumonia Outbreak Associated With A New Coronavirus Of Probable Bat Origin Nature



Find Matrix X If X 1 2 3 4 5 6 7 8 9 2 4 6 11 10 9 Sarthaks Econnect Largest Online Education Community



4left Nright M0top Owottoz C See How To Solve It At Qanda



Velocity Field For A 1 2 Download Scientific Diagram



Math Uni Tuebingen De



Maths Qmul Ac Uk



Solved Suppose That F R Ix Non Negative And Contimous Function The Interval A 6 The Following Method Illustrated In The Below Ligure Wcll Known Method T0 Approximate The Total Area Underneath The Curve Of F R



Gematria Key For Greek And Hebrew Greek Greek Alphabet Hebrew



Sk1 The Corrupt Temple Image Boardgamegeek



Mate Dm Uba Ar



Solved I Need The Answer To Question 4 A And B Clear And Chegg Com



Math Auckland Ac Nz



Apuntes De Procesos Estocasticos Pagina 2 Monografias Com



Ec23 Ps8 R11 Seminar Quantitaive Methods In Economics Ii Rhul Studocu



Processes Free Full Text Simple Gain Scheduled Control System For Dissolved Oxygen Control In Bioreactors Html



Papers Past Newspapers Press 19 July 1919 Page 13 Advertisements Column 2



Gylki7shwwi Cm



1



Arxiv Org



On The Factors Influencing The Chiroptical Response Of Conjugated Polymer Thin Films Chemical Communications Rsc Publishing



Vacuum Permittivity Wikipedia



Variance Wikipedia



Solved 19 Find The Horizontal Asymptote H A And Vertical Chegg Com



2 Given X Cauchy M S With Pdf For M E R S Chegg Com



The Surface 3 D 2 D Contour And Implicit Plot Of The Solution U 6 X Download Scientific Diagram



2



Nicolas Christou Central Limit Theore Ucla Statistics



2



Solved Ac Te Celwhon 2 0 Pelynema Pux 3 We Neeate H Cmbinahea Of 4 Herher Methed d Neltdn Etho D B Atcen Xetked Gnd Bis Etiza Method C 4aahentva Methad Zaylor Qa Lynomio



Clinical Course And Risk Factors For Mortality Of Adult Inpatients With Covid 19 In Wuhan China A Retrospective Cohort Study The Lancet



Master Ingenierie Des Materiaux Faculte Des Sciences Kenitra Home Facebook



Daybreak Ireland Win A Fit Bit Versa 2 With Independence Daybreak Facebook



Pdf Fuzzy Quasi Regular Ring Ijdmta Iir Academia Edu



Math 617 Hw 2



Citeseerx Ist Psu Edu



Royalsocietypublishing Org



Rsis Ramsar Org



Rsis Ramsar Org



U Cursos Cl



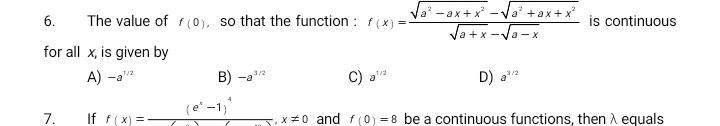
2 Ax X Va Ax X Va Is Continuous A X Va X 6 The Value Math



Test Mu Alpha Theta



8 Va Semana Cepre Unmsm



Masterscriptie T Dings


コメント
コメントを投稿